04 - Modularisieren von C Code


1. Übersicht

In diesem Praktikum üben Sie modulare Programmierung indem Sie ein Java Programm (bestehend aus drei Java Files) in ein entsprechendes C Programm aus drei Modulen (aus je einem Header- und Implementations- File) übersetzen. Sie passen das Makefile so an, dass die entsprechenden Module mit kompiliert werden.

In der zweiten Aufgabe erstellen Sie Makefile Regeln für die drei Schritte von den C Source Files zur graphischen Darstellung der Abhängigkeiten.

Im Anhang ist eine Übersicht über die verwendeten File Formate gegeben.

2. Lernziele

In diesem Praktikum lernen Sie die Handgriffe um ein Programm zu modularisieren, d.h. in mehrere Module aufzuteilen.

  • Sie wissen, dass ein Modul aus einem C-File und einem passenden H-File besteht.

  • Sie können Header Files korrekt strukturieren.

  • Sie deklarieren im Header-File die öffentlichen Typen und Funktionen eines Moduls.

  • Sie wissen wie Include Guards anzuwenden sind.

  • Sie können Module im Makefile zur Kompilation hinzufügen.

  • Sie können Makefile Regeln schreiben.

Die Bewertung dieses Praktikums ist am Ende angegeben.

Erweitern Sie die vorgegebenen Code Gerüste, welche im git Repository snp-lab-code verfügbar sind.

3. Aufgabe 1: Modularisieren

Das zu ergänzende Programm dep2dot hat folgende Funktionalität:

Ergänzen Sie in modularize/src den Code in triangle.c, read.h, read.c, rectang.h und rectang.c so dass die Tests erfolgreich durchlaufen. Die C Implementation soll dieselbe Funktionalität haben wie die gegebenen Java Files. Lehnen Sie sich so nahe wie möglich an die Java Files an.

  1. In den Header-Files implementieren Sie den Include-Guard und deklarieren Sie die öffentlichen Funktionen und gegebenenfalls #define.

  2. In den Implementations-Files implementieren Sie die Funktionen.

Die drei Java Files liegen in modularize/java.

Tipps

  • Implementieren Sie die Symbole welche vollständig in Grossbuchstaben geschrieben sind als #define.

  • EOF kommt schon aus stdio.h und sollte deshalb nicht mehr definiert werden.

  • Jene #define welche von andern Modulen verwendet werden kommen ins Header-File, die andern ins Implementations-File.

  • Ein Grossteil des Java Codes aus den Methoden Bodies kann eins-zu-eins in C übernommen werden. Listen Sie auf welche Unterschiede es gibt:

JavaC
byte
boolean
true
false
System.out.print(…)
System.out.println(…)
System.in.read()
byte[] buffer = new byte[BUFFERSIZE];
public class rectang {
    public boolean Rectangular(…)
    { … }
}
public class read {
    public int getInt(...)
        throws java.io.IOException
    { ... }
}
class triangle {
    public static void main(String[] args)
        throws java.io.IOException
    { ... }
}
read ReadInt = new read();
...
word = ReadInt.getInt(MAX_NUMBER);
rectang Rect = new rectang();
...
if (Rect.Rectangular(a, b, c) == true) { ... }
System.out.println(
"-> Dreieck " + a + "-" + b + "-" + c
+ " ist rechtwinklig");

4. Aufgabe 2: Makefile Regeln

Die folgenden drei Schritte erstellen von einem C Source File eine graphische Darstellung der Abhängigkeiten:

  1. gcc ... -H .. file.c ... 2> file.dep (Regeln im Makefile bereits vorhanden)

  2. dep2dot file.c <file.dep >file.dot (in dieser Aufgabe zu erstellen)

  3. dot -Tpng file.dot >file.png (in dieser Aufgabe zu erstellen)

Sie sollen für die Compiler-ähnlichen Programme dep2dot und dot Makefile Regeln schreiben.

Das Programm dep2dot hat folgende Funktionalität:

  1. Es liest von stdin die vom Compiler generierten Abhängigkeits-Daten in Form des dep Formates ein.

  2. Das erste und einzige Command Line Argument gibt das File an für welches die von stdin gelesenen Abhängigkeiten gelten.

  3. Auf stdout werden die Abhängigkeiten von stdin übersetzt als dot-File Format ausgegeben.

Das Programm dot hat folgende Funktionalität:

  1. Es liest die textuelle Beschreibung eines Graphen aus der übergebenen Datei (erstes Argument) ein.

  2. Auf stdout wird die grafische Darstellung der Beschreibung der Eingabe-Datei im png-File Format ausgegeben.

Das dep-Format und das dot-Format sind im Anhang beschrieben.

Sie können die Funktionalität des Programms dep2dot kennen lernen, indem Sie folgende Zeilen auf der Bash Shell ausführen. Das dep.input File ist Teil der automatisierten Test Suite im Verzeichnis tests:

bin/dep2dot dir/file <tests/dep.input >dep.dot
dot -Tpng dep.dot >dep.png
firefox dep.png

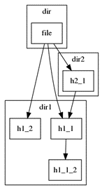
Als Resultat sollte Firefox folgende Graphik darstellen:

Definieren Sie im Makefile Regeln, welche die einzelnen Schritte von den Source Files zu den png Files ausführen.

Prüfen Sie schliesslich die Umsetzung Aufgabe mittels make dep-clean dep && firefox src/*.png.

4.1 Neue Regeln hinzufügen

Führen Sie im Makefile an den angegebenen Stellen folgende Ergänzungen durch

  • definieren Sie eine Variable DEPFILES deren Inhalt die Liste alle Einträge der Variable SOURCES ist, wobei bei allen die Endung .c durch die Endung .c.png ersetzt ist

  • fügen Sie zum Pseudo-Target .PHONEY das Target dep dazu – dies besagt, dass das später folgenden Target dep nicht ein File repräsentiert (ohne dieses Setting würde make gegebenenfalls nach einem File mit Namen dep suchen um zu entscheiden ob es inkrementell gebildet werden muss)

  • schreiben Sie das Target dep gemäss der Beschreibung im Makefile

  • schreiben Sie die Suffix Regel für die Übersetzung von .png <- .dot gemäss Vorgabe im Makefile (als Inspiration, siehe auch die %.c.dep: %.c Suffix Regel weiter unten im Makefile) – erklären Sie was die Regel macht

  • schreiben Sie die Suffix Regel für die Übersetzung von .dot <- .dep gemäss Vorgabe im Makefile – erklären Sie was die Regel macht

Die Umsetzung der obigen Änderungen sind erfolgreich, wenn Sie folgende Shell Command Line erfolgreich ausführen können und in Firefox die Abhängigkeiten der C-Files von den Include Files dargestellt wird.

make dep-clean dep && firefox src/*.png.

4.2 Resultate analysieren und erklären

  • Analysieren Sie die in der vorherigen Aufgabe erstellten grafischen Darstellungen.

  • Erklären Sie was dargestellt wird und stellen Sie den Bezug zum zugehörigen C-Code her.


5. Bewertung

Die gegebenenfalls gestellten Theorieaufgaben und der funktionierende Programmcode müssen der Praktikumsbetreuung gezeigt werden. Die Lösungen müssen mündlich erklärt werden.

Aufgabe

Kriterium

Punkte

1

Sie können das funktionierende Programm inklusive funktionierende Tests demonstrieren und erklären.

1

Module einbinden, Header Files schreiben

2

2

Sie können das funktionierende Makefile demonstrieren und erklären.

2

Neue Regeln hinzufügen

2


6. Anhang

6.1 Verwendete zusätzliche Sprach Elemente

Sprach Element

fprintf(stderr, "v=%d", v)

Beschreibung

Formatierte Ausgabe auf den Standard Error Stream. Siehe man 3 stderr und man 3 fprintf.

6.2 Verarbeitung und verwendete File Formate

Das Programm in diesem Praktikum ist Teil für die graphische Darstellung von #include File Abhängigkeit von C Files.

Den ersten Schritt für die Darstellung der #include File Abhängigkeiten bietet der Compiler. Der Compiler kann mittels der -H Command Line Option auf stderr ein Text File generieren, welches die tatsächlich verwendeten Header Files auflistet. Zusätzlich wird im Resultat die Verschachtelungstiefe der Includes angegeben.

Im zweiten Schritt übersetzt das Programm (dep2dot) dieses Praktikums solche Dependency Files (dep) in eine Text Repräsentation der Abhängigkeiten (dot) welche in graphische Darstel-lung (png) übersetzt werden kann.

Als Tool zur Übersetzung der dot Files in das png Format dient das dot Tool. Dieses Tool muss gegebenenfalls installiert werden:

sudo apt install graphviz

Die png Files können dann z.B. in der Programm Dokumentation integriert werden (Darstellung zu Test Zwecken z.B. mittels firefox file.png).

6.2.1 dep File

Siehe: man gcc

-H  Print the name of each header file used, in addition to other
    normal activities.  Each name is indented to show how deep in the
    #include stack it is. [...]

Das File wird auf stderr ausgegeben.

Beispiel File (für Abhängigkeiten des main.c Files des dep2dot Programms)

. /usr/include/stdio.h
.. /usr/include/x86_64-linux-gnu/bits/libc-header-start.h
... /usr/include/features.h
.... /usr/include/x86_64-linux-gnu/sys/cdefs.h
..... /usr/include/x86_64-linux-gnu/bits/wordsize.h
..... /usr/include/x86_64-linux-gnu/bits/long-double.h
.... /usr/include/x86_64-linux-gnu/gnu/stubs.h
..... /usr/include/x86_64-linux-gnu/gnu/stubs-64.h
.. /usr/lib/gcc/x86_64-linux-gnu/7/include/stddef.h
.. /usr/include/x86_64-linux-gnu/bits/types.h
... /usr/include/x86_64-linux-gnu/bits/wordsize.h
... /usr/include/x86_64-linux-gnu/bits/typesizes.h
.. /usr/include/x86_64-linux-gnu/bits/types/__FILE.h
.. /usr/include/x86_64-linux-gnu/bits/types/FILE.h
.. /usr/include/x86_64-linux-gnu/bits/libio.h
... /usr/include/x86_64-linux-gnu/bits/_G_config.h
.... /usr/lib/gcc/x86_64-linux-gnu/7/include/stddef.h
.... /usr/include/x86_64-linux-gnu/bits/types/__mbstate_t.h
... /usr/lib/gcc/x86_64-linux-gnu/7/include/stdarg.h
.. /usr/include/x86_64-linux-gnu/bits/stdio_lim.h
.. /usr/include/x86_64-linux-gnu/bits/sys_errlist.h
. /usr/include/stdlib.h
.. /usr/include/x86_64-linux-gnu/bits/libc-header-start.h
.. /usr/lib/gcc/x86_64-linux-gnu/7/include/stddef.h
.. /usr/include/x86_64-linux-gnu/bits/floatn.h
... /usr/include/x86_64-linux-gnu/bits/floatn-common.h
.... /usr/include/x86_64-linux-gnu/bits/long-double.h
.. /usr/include/x86_64-linux-gnu/bits/stdlib-float.h
. src/error.h
.. /usr/lib/gcc/x86_64-linux-gnu/7/include/stddef.h
. src/data.h
.. /usr/lib/gcc/x86_64-linux-gnu/7/include/stddef.h
. src/output.h
Multiple include guards may be useful for:
/usr/include/x86_64-linux-gnu/bits/stdlib-float.h
/usr/include/x86_64-linux-gnu/bits/sys_errlist.h
/usr/include/x86_64-linux-gnu/bits/typesizes.h
/usr/include/x86_64-linux-gnu/gnu/stubs-64.h
/usr/include/x86_64-linux-gnu/gnu/stubs.h

6.2.2 dot File

Graphviz ist ein mächtiges Tool-Set welches Graphen, definiert in einem dot-Text File, automatisch anordnet und in png, gif und andere Formate übersetzt.

Siehe die offizielle Web-Page https://www.graphviz.org/.

Es gibt als Teil dieses Tool-Sets verschiedene Übersetzer. Der hier verwendete ist der Basis-übersetzer: dot.

Das dot-File Format kennt viele Möglichkeiten die Knoten und Kanten eines Graphen und deren Anordnung anzugeben.

Der Vorteil eines solchen Tool-Sets ist, dass man den Inhalt (den Graphen) einfach definieren kann und sich nicht um das komplexe Problem der ansprechenden Visualisierung kümmern muss.

Beispiel File (dot -Tpng sample.dot > sample.png)

digraph G {
   node [shape=box]
   A [label="a.c"];
   B [label="a.h"];
   C [label="b.h"];

   subgraph cluster_c0 {
      label="main"; color=black;
      A;
   }

   subgraph cluster_c1 {
      label="others"; style=filled; color=lightgrey;
      { B; C; rank=same; }
   }

   A -> B;
   A -> C;
   B -> C;
}

6.2.3 png File

Das png Format ist ein verlustfrei komprimiertes Raster Graphik Format. Es wird oft in Web Pages verwendet.


Version: 22.02.2022